3. Formulario Muestreo#

3.1. Tipos de muestreo.#

Nº de muestras posibles según el tipo de muestreo

Con reposición

Sin reposición

Si orden

\(VR_{N,n}=N^{n}\)

\(V_{N,n}=\binom{N}{n}\cdot n!\)

No orden

\(CR_{N,n}=\binom{N+n-1}{n}\)

\(C_{N,n}=\binom{N}{n}\)

(*) Todas las muestras son equiprobables, salvo en el caso de No importar orden y con reposición.

3.2. Intervalos de Confianza con normalidad#

\[\lambda_{\alpha/2}=F_{N(0,1)}^{-1}\left(1-\frac{\alpha}{2}\right)\]

3.2.1. Se puede suponer hay insesgadez#

\[\left[\hat{\theta}-\lambda_{\alpha/2}\sigma(\hat{\theta})\ ;\ \hat{\theta}+\lambda_{\alpha/2}\sigma(\hat{\theta})\right]\]

3.2.2. No hay distribución normal#

Se utiliza la t-student: \(\left[\hat{\theta}-t_{n-1,\alpha/2}\sigma(\hat{\theta})\ ;\ \hat{\theta}+t_{n-1,\alpha/2}\sigma(\hat{\theta})\right]\)

Se puede utilizar también la desigualdad de Tchebichev: \(\left[\hat{\theta}-\frac{\sigma(\hat{\theta})}{\sqrt{\alpha}}\ ;\ \hat{\theta}+\frac{\sigma(\hat{\theta})}{\sqrt{\alpha}}\right]\)

3.2.3. El estimador es sesgado#

\[\left[\hat{\theta}-\lambda_{\alpha/2}\sigma(\hat{\theta})-B(\hat{\theta})\ ;\ \hat{\theta}+\lambda_{\alpha/2}\sigma(\hat{\theta})-B(\hat{\theta})\right]\]

3.3. Muestreo aleatorio simple.#

\[\hat{X}=N\overline{x};\quad\hat{\overline{X}}=\overline{x};\quad\hat{P}=p;\quad\hat{A}=N\hat{P}\]

3.4. Muestreo sin reposición.#

\(V(\hat{X})=N^{2}(1-f)\frac{S^{2}}{n}\)

\(V(\hat{\overline{X}})=(1-f)\frac{S^{2}}{n}\)

\(V(\hat{A})=\frac{N^{3}}{N-1}\frac{1}{n}(1-f)PQ\)

\(V(\hat{P})=\frac{N}{N-1}\frac{1}{n}(1-f)PQ\)

Para el caso de proporciones, se tiene: \(S^{2}=\frac{N}{N-1}PQ\) y \(\hat{S}^{2}=\frac{n}{n-1}\hat{P}\hat{Q}\)

3.4.1. Estimación de varianzas.#

\(\hat{V}(\hat{X})=N^{2}(1-f)\frac{\hat{S}^{2}}{n}\)

\(\hat{V}(\hat{\overline{X}})=(1-f)\frac{\hat{S}^{2}}{n}\)

\(\hat{V}(\hat{A})=N^{2}(1-f)\frac{1}{n-1}\hat{P}\hat{Q}\)

\(\hat{V}(\hat{P})=(1-f)\frac{1}{n-1}\hat{P}\hat{Q}\)

3.4.2. Tamaño de la muestra.#

3.4.2.1. Para un error de muestreo dado.#

-Para la media

\[n=\frac{S^{2}}{e^{2}+\frac{S^{2}}{N}}=\frac{NS^{2}}{Ne^{2}+S^{2}}\]

-Para el total

\[n=\frac{N^{2}\cdot S^{2}}{e^{2}+\frac{N^{2}\cdot S^{2}}{N}}\]

- Para la proporción.

\[n=\frac{NPQ}{e^{2}(N-1)+PQ}\]

-Para total de clase.

\[n=\frac{N^{3}PQ}{e^{2}(N-1)+N^{2}PQ}\]

3.4.2.2. Para un error relativo de muestreo dado.#

\[e_{r}(\hat{\theta})=CV(\hat{\theta})=\frac{\sigma(\hat{\theta})}{E(\hat{\theta})}\]

-Para la media:

\[n=\frac{C_{1,x}^{2}}{e_{r}^{2}+\frac{C_{1,x}^{2}}{N}}=\frac{NC_{1,x}^{2}}{Ne_{r}^{2}+C_{1,x}^{2}};\qquad C_{1,x}^{2}=\left(\frac{S}{\overline{X}}\right)^{2}\]

-Para total:

\[n=\frac{C_{1,x}^{2}}{e_{r}^{2}+\frac{C_{1,x}^{2}}{N}}=\frac{NC_{1,x}^{2}}{Ne_{r}^{2}+C_{1,x}^{2}}\]

-Proporción y total de clase:

\[n=\frac{NQ}{P(N-1)e_{r}^{2}+Q}\]

3.5. Muestreo con reposición.#

Los estimadores insesgados son los mismos que para el caso de muestreo sin reposición.

\(V(\hat{X})=N^{2}\frac{\sigma^{2}}{n}\)

\(V(\hat{\overline{X}})=\frac{\sigma^{2}}{n}\)

\(V(\hat{A})=N^{2}\frac{PQ}{n}\)

\(V(\hat{P})=\frac{PQ}{n}\)

3.5.1. Estimación de varianzas.#

\(\hat{V}(\hat{X})=N^{2}\frac{\hat{S}^{2}}{n}\)

\(\hat{V}(\hat{\overline{X}})=\frac{\hat{S}^{2}}{n}\)

\(\hat{V}(\hat{A})=N^{2}\frac{1}{n-1}\hat{P}\hat{Q}\)

\(\hat{V}(\hat{P})=\frac{1}{n-1}\hat{P}\hat{Q}\)

3.5.2. Tamaño de la muestra.#

3.5.2.1. Para un error de muestreo dado.\(e=\sigma(\hat{\theta}).\)#

media

total

proproción

total clase

\(n=\frac{\sigma^{2}}{e^{2}}\)

\(n=\frac{\sigma^{2}N^{2}}{e^{2}}\)

\(n=\frac{PQ}{e^{2}}\)

\(n=\frac{N^{2}PQ}{e^{2}}\)

3.5.2.2. Error relativo de muestreo dado. \(e_{r}=CV(\hat{\theta})\)#

media

total

proporción

total clase

\(n=\frac{\left(\sigma/\overline{X}\right)^{2}}{e_{r}^{2}}\)

\(n=\frac{\left(\sigma/\overline{X}\right)^{2}}{e_{r}^{2}}\)

\(n=\frac{Q}{Pe_{r}^{2}}\)

\(n=\frac{Q}{Pe_{r}^{2}}\)

3.5.2.3. Error de muestreo y coeficientes de confianza dados. \(e_{\alpha}=z_{\alpha/2}\sigma(\hat{\theta})\)#

media

total

proporción

total clase

\(n=\frac{z_{\alpha/2}^{2}\sigma^{2}}{e_{\alpha}^{2}}\)

\(n=\frac{z_{\alpha/2}^{2}\sigma^{2}N^{2}}{e_{\alpha}^{2}}\)

\(n=\frac{z_{\alpha/2}^{2}PQ}{e_{\alpha}^{2}}\)

\(n=\frac{z_{\alpha/2}^{2}PQN^{2}}{e_{\alpha}^{2}}\)

3.5.2.4. Error relativo de muestreo y coeficiente de confianza dados.\(e_{r\alpha}=z_{\alpha/2}CV(\hat{\theta})\)#

media

total

proporción

total clase

\(n=\frac{z_{\alpha/2}^{2}\left(\sigma/\overline{X}\right)^{2}}{e_{r\alpha}^{2}}\)

\(n=\frac{z_{\alpha/2}^{2}\left(\sigma/\overline{X}\right)^{2}}{e_{r\alpha}^{2}}\)

\(n=\frac{z_{\alpha/2}^{2}Q}{e_{r\alpha}^{2}P}\)

\(n=\frac{z_{\alpha/2}^{2}Q}{e_{r\alpha}^{2}P}\)

3.6. Notas.#

  • El muestreo sin reposición es más preciso que el muestreo con reposición.

  • Con el muestreo sin reposición se necesita menos tamaño de muestra para cometer el mismo error que en el caso del muestreo con reposición.

4. Muestreo estratificado.#

4.1. Estimadores#

\[\hat{X_{st}}=\sum_{h=1}^{L}\hat{X}_{h};\quad\hat{\overline{X}}_{st}=\sum_{h=1}^{l}W_{h}\overline{x}_{h};\quad\hat{A}_{st}=\sum_{h=1}^{l}\hat{A}_{h};\quad\hat{P}_{st}=\sum_{h=1}^{L}W_{h}\hat{P}_{h}\]

4.2. Muestreo estratificado sin reposición.#

4.2.1. Varianzas.#

\(V(\hat{X}_{st})=\sum_{h}N_{h}^{2}(1-f_{h})\frac{S_{h}^{2}}{n_{h}}\)

\(V(\overline{x}_{st})=\sum_{h}W_{h}^{2}(1-f_{h})\frac{S_{h}^{2}}{n_{h}}\)

\(V(\hat{A}_{st})=\sum N_{h}^{2}(1-f_{h})\frac{N_{h}}{N_{h}-1}\frac{P_{h}Q_{h}}{n_{h}}\)

\(V(\hat{P}_{st})=\sum_{h}W_{h}^{2}(1-f_{h})\frac{N_{h}}{N_{h}-1}\frac{P_{h}Q_{h}}{n_{h}}\)

4.2.2. Estimación de varianzas.#

\(\hat{V}(\hat{X}_{st})=\sum_{h}N_{h}^{2}(1-f_{h})\frac{\hat{S}{}_{h}^{2}}{n_{h}}\)

\(\hat{V}(\overline{x}_{st})=\sum_{h}W_{h}^{2}(1-f_{h})\frac{\hat{S}{}_{h}^{2}}{n_{h}}\)

\(\hat{V}(\hat{A}_{st})=\sum_{h}N_{h}^{2}(1-f_{h})\frac{\hat{P}_{h}\hat{Q}_{h}}{n_{h}-1}\)

\(\hat{V}(\hat{P}_{st})=\sum_{h}W_{h}^{2}(1-f_{h})\frac{\hat{P}_{h}\hat{Q}_{h}}{n_{h}-1}\)

4.2.3. Afijación de la muestra.#

4.2.3.1. Afijación uniforme.#

\[n_{h}=k\]

\(V(\hat{X}_{st})=\sum_{h}N_{h}^{2}(1-\frac{k}{N_{h}})\frac{S_{h}^{2}}{k}\)

\(V(\overline{x}_{st})=\sum_{h}W_{h}^{2}(1-\frac{k}{N_{h}})\frac{S_{h}^{2}}{k}\)

\(V(\hat{A}_{st})=\sum_{h}N_{h}^{2}(1-\frac{k}{N_{h}})\frac{N_{h}}{N_{h}-1}\frac{P_{h}Q_{h}}{k}\)

\(V(\hat{P}_{st})=\sum_{h}W_{h}^{2}(1-\frac{k}{N_{h}})\frac{P_{h}Q_{h}}{k}\)

4.2.3.2. Afijación proporcional.#

\[\frac{n_{h}}{N_{h}}=k;\ k=\frac{n}{N}=f;\ f_{h}=f;\ W_{h}=\frac{N_{h}}{N}=\frac{n_{h}}{n}\]
\[\hat{X_{st}}=\frac{x}{f}=\frac{Total\ muestral}{Fracci\acute{o}n\ muestreo};\ \hat{\overline{X}_{st}}=\frac{Total\ muestral}{Tama\tilde{n}o\ muestra}\]

\(V(\hat{X}_{st})=\frac{1-k}{k}\sum_{h}N_{h}S_{h}^{2}\)

\(V(\overline{x}_{st})=\frac{1-k}{n}\sum_{h}W_{h}S_{h}^{2}\)

\(V(\hat{A}_{st})=\frac{1-k}{k}\sum_{h}\frac{N_{h}^{2}}{N_{h}-1}P_{h}Q_{h}\)

\(V(\hat{P}_{st})=\frac{(1-k)}{k}\sum_{h}\frac{N_{h}^{2}/N}{N_{h}-1}P_{h}Q_{h}\)

4.2.3.3. afijación de mínima varianza ( afijación de Neyman).#

\[n_{h}=n\cdot\frac{N_{h}S_{h}}{\sum_{h}N_{h}S_{h}}\]

\(V(\hat{X}_{st})=\frac{1}{n}\left(\sum_{h=1}^{L}N_{h}S_{h}\right)^{2}-\frac{1}{N}\sum_{h=1}^{L}N_{h}S_{h}^{2}\)

\(V(\overline{x}_{st})=\frac{1}{n}\left(\sum_{h=1}^{L}W_{h}S_{h}\right)^{2}-\frac{1}{N}\sum_{h=1}^{L}W_{h}S_{h}^{2}\)

Para obtener la afijación o la expresión de la varianza mínima para la proporción y el total de clase, en las fórmulas anteriores, se sustituye \(S_{h}^{2}\) por \(P_{h}Q_{h}N_{h}/(N_{h}-1)\)

4.2.3.4. Afijación óptima.#

\[n_{h}=n\cdot\frac{N_{h}S_{h}/\sqrt{c_{h}}}{\sum_{h}N_{h}S_{h}/\sqrt{c_{h}}}\]
\[V(\hat{X}_{st})=\frac{1}{n}\left(\sum_{h=1}^{L}N_{h}S_{h}/\sqrt{c_{h}}\right)\cdot\left(\sum_{h=1}^{L}N_{h}S_{h}\cdot\sqrt{c_{h}}\right)-\frac{1}{N}\sum_{h=1}^{L}N_{h}S_{h}^{2}\]
\[V(\overline{x}_{st})=\frac{1}{n}\left(\sum_{h=1}^{L}W_{h}S_{h}/\sqrt{c_{h}}\right)\cdot\left(\sum_{h=1}^{L}W_{h}S_{h}\cdot\sqrt{c_{h}}\right)-\frac{1}{N}\sum_{h=1}^{L}W_{h}S_{h}^{2}\]

Para obtener la afijación o la expresión de la varianza mínima para la proporción y el total de clase, en las fórmulas anteriores, se sustituye

\(S_{h}^{2}\) por \(P_{h}Q_{h}N_{h}/(N_{h}-1)\)

4.2.4. Tamaño de la muestra.#

4.2.4.1. Error de muestreo dado \(e=\sigma(\hat{\theta})\).#

4.2.4.1.1. Media, total, proporción y total de clase con afijación proporcional.#

- Para la media.

\[n=\frac{\sum_{h}W_{h}S_{h}^{2}}{e^{2}+\frac{1}{N}\sum_{h}W_{h}S_{h}^{2}}\]

-Para el total:

\[n=\frac{N\sum_{h}N_{h}S_{h}^{2}}{e^{2}+\sum_{h}N_{h}S_{h}^{2}}\]

Los tamaños de la muestra en los casos de la proporción y total de clase, se calculan sustituyendo \(S_{h}^{2}\) por \(\frac{N_{h}}{N_{h}-1}P_{h}Q_{h}\) en las fórmulas del tamaño de la muestra para la estimación de la media y el total respectivamente.

4.2.4.1.2. Media, total, proporción y total de clase con afijación de mínima varianza.#

-Para la media:

\[n=\frac{\left(\sum_{h}W_{h}S_{h}\right)^{2}}{e^{2}+\frac{1}{N}\sum_{h}W_{h}S_{h}^{2}}\]

-Para el total:

\[n=\frac{\left(\sum_{h}N_{h}S_{h}\right)^{2}}{e^{2}+\sum_{h}N_{h}S_{h}^{2}}\]

Los tamaños de la muestra en los casos de la proporción y total de clase, se calculan sustituyendo \(S_{h}^{2}\) por \(\frac{N_{h}}{N_{h}-1}P_{h}Q_{h}\) en las fórmulas del tamaño de la muestra para la estimación de la media y el total respectivamente.

4.2.4.2. Error de muestreo y coeficiente de confianza dados \(e_{\alpha}=z_{\alpha}\sigma(\hat{\theta}).\)#

4.2.4.2.1. Media, total, proporción y total de clase con afijación proporcional.#

- Para la media.

\[n=\frac{\sum_{h}W_{h}S_{h}^{2}}{\frac{e^{2}}{z_{\alpha/2}^{2}}+\frac{1}{N}\sum_{h}W_{h}S_{h}^{2}}\]

-Para el total.

\[n=\frac{N\sum_{h}N_{h}S_{h}^{2}}{\frac{e^{2}}{z_{\alpha/2}^{2}}+\sum_{h}N_{h}S_{h}^{2}}\]

Los tamaños de la muestra en los casos de la proporción y total de clase, se calculan sustituyendo \(S_{h}^{2}\) por \(\frac{N_{h}}{N_{h}-1}P_{h}Q_{h}\) en las fórmulas del tamaño de la muestra para la estimación de la media y el total respectivamente.

4.2.4.2.2. Media, total, proporción y total de clase con afijación de mínima varianza.#

-Para la media:

\[n=\frac{\left(\sum_{h}W_{h}S_{h}\right)^{2}}{\frac{e^{2}}{z_{\alpha/2}^{2}}+\frac{1}{N}\sum_{h}W_{h}S_{h}^{2}}\]

-Para el total:

\[n=\frac{\left(\sum_{h}N_{h}S_{h}\right)^{2}}{\frac{e^{2}}{z_{\alpha/2}^{2}}+\sum_{h}N_{h}S_{h}^{2}}\]

Los tamaños de la muestra en los casos de la proporción y total de clase, se calculan sustituyendo \(S_{h}^{2}\) por \(\frac{N_{h}}{N_{h}-1}P_{h}Q_{h}\) en las fórmulas del tamaño de la muestra para la estimación de la media y el total respectivamente.

4.2.4.3. Tamaño de la muestra sin especificar el tipo de afijación.#

-Para la media:

\[n=\frac{\sum\frac{W_{h}^{2}}{w_{h}}S_{h}^{2}}{\left(\frac{e^{2}}{z_{\alpha/2}^{2}}+\frac{\sum W_{h}S_{h}^{2}}{N}\right)}\]

-para el total

\[n=\frac{\sum\frac{W_{h}^{2}}{w_{h}}S_{h}^{2}}{\left(\frac{e^{2}}{z_{\alpha/2}^{2}}+\sum N_{h}S_{h}^{2}\right)}\]

4.3. Muestreo estratificado con reposición.#

Los estimadores lineales insesgados del total, media, proporción y total de clase son los mismos que en el caso sin reposición.

4.3.1. Varianzas de los estimadores.#

\(V(\hat{X}_{st})=\sum_{h}N_{h}^{2}\frac{\sigma_{h}^{2}}{n_{h}}\)

\(V(\overline{x}_{st})=\sum_{h}W_{h}^{2}\frac{\sigma_{h}^{2}}{n_{h}}\)

\(V(\hat{A}_{st})=\sum N_{h}^{2}\frac{P_{h}Q_{h}}{n_{h}}\)

\(V(\hat{P}_{st})=\sum_{h}W_{h}^{2}\frac{P_{h}Q_{h}}{n_{h}}\)

4.3.2. Estimación de varianzas.#

\(\hat{V}(\hat{X}_{st})=\sum_{h}N_{h}^{2}\frac{\hat{S}{}_{h}^{2}}{n_{h}}\)

\(\hat{V}\overline{x}_{st})=\sum_{h}W_{h}^{2}\frac{\hat{S}{}_{h}^{2}}{n_{h}}\)

\(\hat{V}(\hat{A}_{st})=\sum_{h}N_{h}^{2}\frac{\hat{P}_{h}\hat{Q}_{h}}{n_{h}-1}\)

\(\hat{V}(\hat{P}_{st})=\sum_{h}W_{h}^{2}\frac{\hat{P}_{h}\hat{Q}_{h}}{n_{h}-1}\)

4.3.3. Afijación uniforme.#

\(V(\hat{X}_{st})=\sum N_{h}^{2}\frac{\sigma_{h}^{2}}{k}\)

\(V(\overline{x}_{st})=\sum_{h}W_{h}^{2}\frac{\sigma_{h}^{2}}{k}\)

\(V(\hat{A}_{st})=\sum_{h}N_{h}^{2}\frac{P_{h}Q_{h}}{k}\)

\(V(\hat{P}_{st})=\sum_{h}W_{h}^{2}\frac{P_{h}Q_{h}}{k}\)

4.3.4. Afijación proporcional.#

\(V(\hat{X}_{st})=\frac{1}{k}\sum_{h}N_{h}\sigma_{h}^{2}\)

\(V(\overline{x}_{st})=\frac{1}{n}\sum_{h}W_{h}\sigma_{h}^{2}\)

\(V(\hat{A}_{st})=\frac{1}{k}\sum_{h}N_{h}P_{h}Q_{h}\)

\(V(\hat{P}_{st})=\frac{1}{n}\sum_{h}W_{h}\frac{P_{h}Q_{h}}{k}\)

4.3.5. Afijación de mínima varianza o de Neyman.#

media

total

\(n_{h}=n\frac{N_{h}\sigma_{h}}{\sum_{h}N_{h}\sigma_{h}}\)

\(n_{h}=n\frac{W_{h}\sigma_{h}}{\sum_{h}W_{h}\sigma_{h}}\)

\(V(\overline{X}_{st})=\frac{1}{n}\left(\sum_{h=1}^{L}W_{h}\sigma_{h}\right)^{2}\)

\(V(\overline{X}_{st})=\frac{1}{n}\left(\sum_{h=1}^{L}N_{h}\sigma_{h}\right)^{2}\)

Si se quiere esta afijación para la proporción y el total de clase, hay que sustituir \(\sigma_{h}\) en la expresión anterior por \(P_{h}Q_{h}\)

4.3.6. Afijación óptima#

media

total

\(n_{h}=n\frac{N_{h}\sigma_{h}/\sqrt{c_{h}}}{\sum_{h}(N_{h}\sigma_{h})/\sqrt{c_{h}}}\)

\(n_{h}=n\frac{W_{h}\sigma_{h}/\sqrt{c_{h}}}{\sum_{h}(W_{h}\sigma_{h})/\sqrt{c_{h}}}\)

\(V(\hat{\overline{X}}_{st})=\frac{1}{n}\left(\sum_{h=1}^{L}W_{h}\sigma_{h}/\sqrt{c_{h}}\left(\sum_{h=1}^{L}W_{h}\sigma_{h}\cdot\sqrt{c_{h}}\right)\right)\)

\(V(\hat{X}_{st})=\frac{1}{n}\left(\sum_{h=1}^{L}N_{h}\sigma_{h}/\sqrt{c_{h}}\left(\sum_{h=1}^{L}N_{h}\sigma_{h}\cdot\sqrt{c_{h}}\right)\right)\)

Si se quiere esta afijación para la proporción y el total de clase, hay que sustituir \(\sigma_{h}\) en la expresión anterior por \(P_{h}Q_{h}\)

4.3.7. Tamaño de la muestra.#

a) Error de muestreo dado \(e=\sigma(\hat{\theta})\).

- Media, Total, proporción y total de clase con afijación proporcional.

- Para la media.

\[n=\frac{\sum_{h}W_{h}\sigma_{h}^{2}}{e^{2}}\]

- Para el total.

\[n=\frac{N\sum_{h}N_{h}\sigma_{h}^{2}}{e^{2}}\]

Para el caso de la proporción y el total de la clase, se emplean las fórmulas anteriores sustituyendo \(\sigma_{h}^{2}\) por \(P_{h}Q_{h}\)

- Media, Total, proporción y total de clase con afijación de mínima varianza.

-Para la media:

\[n=\frac{\left(\sum_{h}W_{h}\sigma_{h}\right)^{2}}{e^{2}}\]

-Para el total.

\[n=\frac{\left(\sum_{h}N_{h}\sigma_{h}\right)^{2}}{e^{2}}\]

Para el caso de la proporción y el total de la clase, se emplean las fórmulas anteriores sustituyendo \(\sigma_{h}^{2}\) por \(P_{h}Q_{h}\)

b) Error de muestreo y coeficiente de confianza dados \(e_{\alpha}=z_{\alpha/2}\sigma(\hat{\theta})\).

- Media, Total, proporción y total de clase con afijación proporcional.

-Para la media.

\[n=\frac{\sum_{h}W_{h}\sigma_{h}^{2}}{e_{\alpha}^{2}/z_{\alpha/2}^{2}}\]

-Para el total

\[n=\frac{N\sum_{h}N_{h}\sigma_{h}^{2}}{e_{\alpha}^{2}/z_{\alpha/2}^{2}}\]

Para el caso de la proporción y el total de la clase, se emplean las fórmulas anteriores sustituyendo \(\sigma_{h}^{2}\) por \(P_{h}Q_{h}\).

- Media, Total, proporción y total de clase con afijación de mínima varianza.

- para la media.

\[n=\frac{\left(\sum_{h}W_{h}\sigma_{h}\right)^{2}}{e_{\alpha}^{2}/z_{\alpha/2}^{2}}\]

- Para el total.

\[n=\frac{\left(\sum_{h}N_{h}\sigma_{h}\right)^{2}}{e_{\alpha}^{2}/z_{\alpha/2}^{2}}\]

5. Muestreo sistemático.#

\[\hat{X}=N\overline{x}_{j},\quad\hat{\overline{X}}=\overline{x}_{j},\quad\hat{P}=\hat{P}_{j},\quad\hat{A}=N\hat{P}_{j}\]

Definiciones:

cuasivarianza muestral:\(S^{2}=\frac{1}{n-1}\sum_{i,j}\left(x_{ij}-\overline{X}\right)^{2}\)

cuasivarianza intermuestral: \(S_{bs}^{2}=\frac{1}{k-1}\sum_{i=1}^{n}\sum_{j=1}^{k}\left(\overline{x}_{j}-\overline{X}\right)^{2}\)

cuasivarianza intramuestral: \(S_{ws}^{2}=\frac{1}{N-k}\sum_{i=1}^{n}\sum_{j=1}^{k}\left(X_{ij}-\overline{X}\right)^{2}\)

Se verifica: \((N-1)S^{2}=(N-k)S_{ws}^{2}+(k-1)S_{bs}^{2}\)

5.1. Varianzas en función de \(S_{bs}^{2}\).#

- General (para el total)

\[\boxed{V(\hat{X)}=k\sum_{r=1}^{k}\left(\sum_{h\in s_{r}}y_{h}-\frac{1}{k}\cdot Y_{U}\right)^{2}\qquad(*)}\]

- a partir de cuasivarianza intermuestral

\(V(\hat{\overline{X}})=(1-f)\frac{S_{bs}^{2}}{n}\)

\(V(\hat{X})=N^{2}(1-f)\frac{S_{bs}^{2}}{n}\)

\(V(\hat{P})=\frac{1}{N}\sum_{i=1}^{n}\sum_{j=1}^{k}\left(\hat{P}_{j}-P\right)^{2}\)

\(V(\hat{A})=N\sum_{i=1}^{n}\sum_{j=1}^{k}\left(\hat{P}_{j}-P\right)^{2}\)

- a partir de cuasivarianza intramuestral

\(V(\hat{\overline{X}})=\sigma^{2}-\frac{n-1}{n}S_{ws}^{2}\)

\(V(\hat{X})=N(N-1)S^{2}-N(N-k)S_{ws}^{2}\)

\(V(\hat{P})=PQ-\frac{1}{k}\sum_{j}^{k}\hat{P}_{j}\hat{Q}_{j}\)

\(V(\hat{A})=N^{2}\left(PQ-\frac{1}{k}\sum_{j}^{k}\hat{P}_{j}\hat{Q}_{j}\right)\)

5.2. Coeficiente de correlación intramuestral.#

\[\rho_{w}=\frac{2\sum_{j=1}^{k}\sum_{i<z}^{n}(X_{ij}-\overline{X})(X_{zj}-\overline{X)}}{N(n-1)\sigma^{2}}\ ,con\ \ \sigma^{2}=\frac{1}{nk}\sum_{j=1}^{k}\sum_{i=1}^{n}(X_{ij}-\overline{X})^{2}\]
\[\rho_{w}=1-\frac{n}{n-1}\cdot\frac{SSW}{SST}\]
\[\boxed{V(\overline{x}_{j})=\frac{N-1}{N}\cdot\frac{S^{2}}{n}\left[1+(n-1)\rho_{w}\right]}\]

Una medida de homogeneidad entre los elementos de una misma muestra sistemática es:

\[\delta=1-\frac{N-1}{N-k}\cdot\frac{SSW}{SST}\Rightarrow\rho=1-\frac{N}{N-1}\cdot(1-\delta)\]

5.3. Muestreo estratificado vs sistemático.#

- cuasivarianza interestratal \(S_{bst}^{2}=\frac{1}{n-1}\sum_{i=1}^{n}\sum_{j=1}^{k}\left(\overline{X}_{i}-\overline{X}\right)^{2}\)

-cuasivarianza intraestratal: \(S_{wst}^{2}=\frac{1}{N-n}\sum_{i,j}\left(X_{ij}-\overline{X}\right)^{2}\)

\[\boxed{(N-1)S^{2}=(N-n)S_{wst}^{2}+(n-1)S_{bst}^{2}}\]

\(\rho_{wst}\) es el coeficiente de correlación lineal entre las desviaciones de las medias de los estratos de todos los pares de valores que están en la misma muestra sistemática.

\[\rho_{wst}=\frac{2\sum_{j=1}^{k}\sum_{i<z}(X_{ij}-\overline{X}_{i})(X_{zj}-\overline{X}_{z})}{n(n-1)(k-1)S_{wst}^{2}}\]

5.4. Estimación de la varianza.#

No hay método directo. Estudiamos los siguientes casos.

- \(\rho_{w}\) próximo a cero:

\[\hat{V}(\overline{x})=(1-f)\cdot\frac{\hat{S}^{2}}{n}\quad\hat{S}^{2}\ cuasivarainaza\ muestra\ sistem\acute{a}tica\]

- \(\rho_{wst}\) próximo a cero.

\[\hat{V}(\overline{x}_{st})=\frac{1-f}{n^{2}}\sum_{h=1}^{n/2}(x_{h1}-x_{h2})^{2}\]

- ninguno de los coeficientes de correlación anteriores están próximo a cero.

Se utilizaría método muestras interpenetrantes.

6. Métodos de estimación indirecta.#

6.1. Método de la razón#

En general el estimador \(\hat{R}\) es sesgado de \(R=\frac{\overline{X}}{\overline{Y}}\). Se tiene: \(B(\hat{R})=-\rho_{(\hat{R},\overline{y})}\sigma_{\hat{R}}Cv(\overline{y}).\text{\ensuremath{\hat{R}}}\) será insegado si:

  1. \(\hat{R}\) e \(\overline{y}\) son incorreladas, ó

  2. .- \(\left|\frac{B(\hat{R})}{\sigma_{\hat{R}}}\right|\le Cv(\overline{y})<0.1\)

Para conseguir que \(\hat{R}\) sea más o menos insesgado, se debe tomar n: \(n>\frac{100N\frac{S_{Y}^{2}}{\overline{y}^{2}}}{N+100\frac{S_{Y}^{2}}{\overline{y}^{2}}}\) (muestreo sin reposición). Para muestreo con reposición: \(n>100\frac{\sigma_{y}^{2}}{\overline{Y}^{2}}\)

- Si la recta de regresión de Y/X ( o X/Y) pasa por el origen de coordenadas entonces \(\hat{R}\) es insesgado.

6.1.1. Estimador de Hartley y Ross.#

Va a ser siempre insesgado de R. Se construye así:

\[\hat{R}_{HR}=\hat{R}_{1}+\frac{N-1}{N\overline{Y}}\cdot\frac{n}{n-1}\left(\overline{x}-\hat{R}_{1}\overline{y}\right)\quad con\quad\hat{R}_{1}=\frac{1}{n}\sum_{i=1}^{n}\frac{X_{i}}{Y_{i}}\]

6.1.2. Sesgo aproximado.#

valor

estimación

Muest. sin repos.

\(B(\hat{R})=\frac{(1-f)}{n\overline{Y}^{2}}(RS_{Y}^{2}-S_{XY})\)

\(\hat{B}(\hat{R})=\frac{(1-f)}{n\overline{Y}^{2}}(\hat{R}\hat{S}_{Y}^{2}-\hat{S}_{XY})\)

Muest. con repos.

\(B(\hat{R})=\frac{1}{n\overline{Y}^{2}}\left(R\sigma_{Y}^{2}-\sigma_{XY}\right)\)

\(\hat{B}(\hat{R})=\frac{1}{n\overline{Y}^{2}}\left(\hat{R}\hat{S}_{Y}^{2}-\hat{S}_{XY}\right)\)

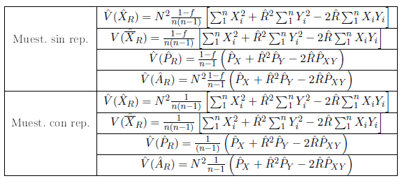
6.1.3. Varianza aproximada.#

Muest. sin rep. (valor)

\(V(\hat{R})=\frac{1-f}{\overline{Y}^{2}n(N-1)}\left[\sum_{1}^{N}X_{i}^{2}+R^{2}\sum_{1}^{N}Y_{i}^{2}-2R\sum_{1}^{N}X_{i}Y_{i}\right]\)

Muest. sin rep. (esti.)

\(\hat{V}(\hat{R})=\frac{1-f}{\overline{Y}^{2}n(n-1)}\left[\sum_{1}^{n}X_{i}^{2}+\hat{R}^{2}\sum_{1}^{n}Y_{i}^{2}-2\hat{R}\sum_{1}^{n}X_{i}Y_{i}\right]\)

Muest. con rep. (valor)

\(V(\hat{R})=\frac{1-f}{\overline{Y}^{2}nN}\left[\sum_{1}^{N}X_{i}^{2}+R^{2}\sum_{1}^{N}Y_{i}^{2}-2R\sum_{1}^{N}X_{i}Y_{i}\right]\)

Muest. con rep. (esti.)

\(\hat{V}(\hat{R})=\frac{1-f}{\overline{Y}^{2}n(n-1)}\left[\sum_{1}^{n}X_{i}^{2}+R^{2}\sum_{1}^{n}Y_{i}^{2}-2R\sum_{1}^{n}X_{i}Y_{i}\right]\)

6.2. Estimación de parámetros.#

Total

Media

Proporción

Total clase

\(\hat{X}_{R}=\hat{R}\cdot Y\)

\(\hat{\overline{X}_{R}}=\hat{R}\overline{Y}\)

\(\hat{P}_{RX}=\hat{R}P_{Y}\)

\(\hat{A}_{RX}=\hat{R}A_{Y}\)

Estos estimadores son insesgados si lo es el estimador de la razón.

6.3. Varianzas de los estimadores.#

6.4. Estimación varianzas#

7. Muestreo por conglomerados.#

7.1. Conglomerados mismo tamaño sin submuestreo.#

\(\overline{M}\) Número de unidades elementales en el conglomerado. \(n\) : Número de conglomerado en la muestra. \(N\) número de conglorados en la población

7.1.1. Muestreo sin remplazamiento en primera etapa.#

\(\hat{X}=N\overline{M}\overline{\overline{x}}\qquad\hat{\overline{X}}=\overline{\overline{x}}\qquad\hat{P}=\frac{1}{n}\sum_{i=1}^{n}P_{i}\qquad\hat{A}=N\overline{M}\hat{P}\ con\ \overline{\overline{x}}=\frac{1}{n}\sum_{i=1}^{n}\overline{X}_{i}\)

\(V(\overline{\overline{x}})=(1-f)\frac{S_{b}^{2}}{n\overline{M}}\quad S_{b}^{2}=\frac{\sum_{i=1}^{N}\sum_{j=1}^{\overline{M}}\left(\overline{X}_{i}-\overline{X}\right)^{2}}{N-1};\ V(\hat{X})=N^{2}\overline{M}^{2}(1-f)\frac{S_{b}^{2}}{n\overline{M}}\)

\(V(\hat{P})=(1-f)\frac{\sum_{i=1}^{N}(P_{i}-P)^{2}}{n(N-1)};\ V(\hat{A})=N^{2}\overline{M}^{2}(1-f)\frac{\sum_{i=1}^{N}(P_{i}-P)^{2}}{n(N-1)}\)

\(\delta\)= coeficiente de correlación intraconglomerados. \(V(\overline{\overline{x}})=(1-f)\frac{S^{2}}{n\overline{M}}\left[1+(\overline{M}-1)\delta\right]\)

\(\hat{V}(\overline{\overline{x}})=(1-f)\frac{\hat{S}_{0}^{2}}{n\overline{M}}\left[1+(\overline{M}-1)\hat{\delta}\right]=(1-f)\frac{\hat{S}_{b}^{2}}{n\overline{M}}\)

siendo:\(\hat{S_{0}}^{2}=\frac{N-1}{N\overline{M}-1}\hat{S}_{b}^{2}+\frac{N\left(\overline{M}-1\right)}{N\overline{M}-1}\hat{S}_{w}^{2}\)

\(\hat{V}(\hat{X})=N^{2}\overline{M}^{2}\hat{V}(\overline{\overline{x}})\)

\(\hat{V}(\hat{P})=(1-f)\frac{\hat{S}_{0}^{2}}{n\overline{M}}\left[1+(\overline{M}-1)\hat{\delta}\right]=(1-f)\frac{\hat{S}_{b}^{2}}{n\overline{M}}\)

\(\hat{V}(\hat{A})=N^{2}\overline{M}^{2}\hat{V}(\hat{P})\)

7.1.2. Muestreo con remplazamiento en primera etapa.#

Los estimadors son iguales que en el caso sin remplazamiento

\(V\left(\overline{\overline{X}}\right)=\frac{\sigma_{b}^{2}}{n\overline{M}}\) con \(\sigma_{b}^{2}=\frac{1}{N}\sum_{i=1}^{N}\sum_{J=1}^{\overline{M}}\left(\overline{X}_{i}-\overline{X}\right)^{2}\)

\(V(\overline{\overline{X}})=\frac{\sigma^{2}}{n\overline{M}}\left[1+\left(\overline{M}-1\right)\cdot\delta\right]\) siendo \(\delta\) el coeficiente de correlación intraconglomerados

\(V(\hat{X})=N^{2}\overline{M}^{2}\frac{\sigma_{b}^{2}}{n\overline{M}}\)

\(V(\hat{P})=\frac{\sum_{i=1}^{N}\left(P_{i}-P\right)^{2}}{nN}\ \ \ \text{\ \ V(\ensuremath{\hat{A})=N^{2}\overline{M}^{2}\frac{\sum_{i=1}^{N}\left(P_{i}-P\right)^{2}}{nN}}}\)

7.1.2.1. Estimación de varianzas#

\(\hat{\sigma}'^{2}=\hat{S}_{1,w}^{2}+\frac{\hat{S}_{b}^{2}}{M}\) es un estimador insesgado de \(\sigma^{2}\), \(\hat{S}_{1,w}^{2}=\frac{1}{n\overline{M}}\sum_{i=1}^{n}\sum_{j=1}^{\overline{M}}\left(X_{ij}-\overline{X}_{i}\right)^{2}\)